ABSTRACT
Named after Adelson-Velsky and Landis, the AVL Tree is a self-balancing BST that ensures a worst-case time complexity of for search, insertion, and deletion. It achieves this by maintaining a strict balance property through structural rotations.
1. Core Properties
An AVL tree must satisfy the Balance Condition: For every node , the height of its left and right subtrees can differ by at most 1.
- Balance Factor ():
- Validity: A node is balanced if .
| Valid AVL Tree | Invalid AVL Tree |
|---|---|
![]() | ![]() |
2. Mathematical Proof of Height
We can prove the worst-case height is by finding the minimum number of nodes required to form an AVL tree of height .
- Recurrence:
- Base Cases: , (using a 1-based height definition).
- Result: This recurrence grows faster than the Fibonacci sequence. Since (where is the golden ratio), it follows that , confirming .
3. Rebalancing: AVL Rotations
When an insertion or removal causes a node to have a of , rotations are used to restore balance.
Single Rotations (The “Straight Line” Case)
Used when the imbalance is caused by an insertion into the “outside” child (Left-Left or Right-Right).
- Right Rotation: Fixes Left-Left imbalance.
- Left Rotation: Fixes Right-Right imbalance.

AVLRight(b): // Perform a right AVL rotation on node b
a = left child of b
y = right child of a (or NULL if a does not have a right child)
p = parent of b (or NULL if b does not have a parent)
if p is not NULL and b is the right child of p:
make a the right child of p
otherwise, if p is not NULL and b is the left child of p:
make a the left child of p
make y the left child of b
make b the right child of a
AVLLeft(a): // Perform a left AVL rotation on node a
b = right child of a
y = left child of b (or NULL if b does not have a left child)
p = parent of a (or NULL if a does not have a parent)
if p is not NULL and a is the right child of p:
make b the right child of p
otherwise, if p is not NULL and a is the left child of p:
make b the left child of p
make y the right child of a
make a the left child of b
Double Rotations (The “Kink” Case)
Used when the imbalance is caused by an insertion into the “inside” child (Left-Right or Right-Left). A single rotation cannot fix a “kink” shape.

Solution: Double Rotations:
- First Rotation: Rotate the child to transform the “kink” into a “straight line.”
- Second Rotation: Rotate the parent to restore overall balance.

DoubleAVLLeftKink(a): // Shape: <
AVLLeft(a.leftChild)
AVLRight(a)
DoubleAVLRightKink(a): // Shape: >
AVLRight(a.rightChild)
AVLLeft(a)
Insertion Example Requiring Double Rotation
Below is a more complex example in which we insert 10 into the following AVL Tree:
Following the traditional Binary Search Tree insertion algorithm, we would get the following tree (note that we have updated balance factors as well):
As you can see, the root node is now out of balance, and as a result, we need to fix its balance. However, as we highlighted via the bent red arrow above, this time, our issue is in a “kink” shape (not a “straight line” shape, as it was in the previous complex example). As a result, a single AVL rotation will no longer suffice, and we are forced to perform a double rotation. The first rotation will be a left rotation on node 5 in order to transform this “kink” shape into a “straight line” shape:
Now, we have successfully transformed our problematic “kink” shape into the “straight line” shape we already know how to fix. Thus, we can perform a right rotation on the root to fix our tree:
4. Basic Operations
BST operations in an AVL tree are enhanced with a “rebalancing” phase to ensure the height is maintained.
find(element)
- Logic: Identical to the standard Binary Search Tree find algorithm.
- Process: Compare the target to the current node; traverse left if smaller or right if larger.
- Complexity: Guaranteed because the tree height is strictly controlled.
insert(element)
- BST Phase: Perform a standard BST insertion to place the new node as a leaf.
- Update Phase: Traverse upwards from the new leaf toward the root.
- Balance Phase: At each ancestor, update the balance factor. If any node reaches a factor of , perform the appropriate Single or Double Rotation.
- Complexity: for the initial search plus for the upward rebalancing pass.

More Complex Insert
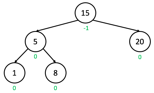
Below is a more complex example in which we insert 20 into the following AVL Tree:
Following the traditional Binary Search Tree (BSTs) insertion algorithm, we would get the following tree (note that we have updated balance factors as well):
As you can see, the root node is now out of balance, and as a result, we need to fix its balance using an AVL rotation. Specifically, we need to rotate left at the root, meaning 10 will become the new root, 7 will become the right child of 5, and 5 will become the left child of 10:
remove(element)
- BST Phase: Perform standard BST removal (handling the 0, 1, or 2-child cases).
- Update Phase: Start at the parent of the physically removed node and traverse upwards to the root.
- Balance Phase: Check balance factors at every level. Unlike insertion (where one rotation fix is often enough), removal may require multiple rotations along the path to the root.
- Complexity: for both the search and the potential multi-step rebalancing pass.

5. Performance Comparison
| Feature | Standard BST | AVL Tree |
|---|---|---|
| Average Search | ||
| Worst Search | ||
| Balancing Strategy | None | Height-based (Strict) |
| Passes per Update | 1 (Down) | 2 (Down and Up) |
NOTE
While AVL trees provide the best lookup times due to their strict balance, they require two passes (one down to find/insert, one up to rebalance). The Red-Black Tree is often preferred in high-performance libraries because it can rebalance in a single pass.








