ABSTRACT
Navigation systems, social networks, and airport connections are all powered by Graphs. By abstracting real-world locations into Nodes and their connections into Edges, we can solve complex problems like finding the “shortest path” between any two points in the world.
1. What is a Graph?
A graph is a mathematical structure used to model relationships between objects. It consists of:
- Nodes (or Vertices): The individual elements or “locations” in the system.
- Edges: The connections between pairs of nodes.
Unlike trees, graphs have no strict hierarchy. They can be:
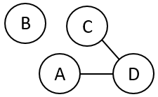
- Disconnected: Some nodes have no paths between them.

- Sequential: Nodes follow a linear path.

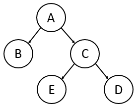
- Hierarchical: Organized like a tree (though trees are actually just a specific type of graph).

- Complex: A mix of connected and disconnected components.

2. Formal Definition
A graph is formally represented as an ordered pair :
- : A set of vertices .
- : A set of edges, where each edge is a pair of vertices .
Example
The size of a graph is denoted by
- (number of vertices)
- (number of edges).
3. Classifying Graphs
Graphs are categorized based on how their edges behave:
Directed vs. Undirected
- Directed Graph: Edges have a specific direction (one-way). means you can go from to , but not necessarily back.

- Undirected Graph: Edges are bidirectional. is equivalent to .

Weighted vs. Unweighted
- Weighted Graph: Each edge has a “cost” or “weight” (e.g., distance or travel time).

- Unweighted Graph: All edges are considered equal (effectively having a weight of 1).
4. Paths and Cycles
-
Path: A sequence of edges connecting a start node to an end node.
-
Cycle: A path that starts and ends at the same node.

- DAG (Directed Acyclic Graph): A directed graph that contains no cycles.
More information can be found here
5. Summary of Properties
| Property | Description | Real-World Example |
|---|---|---|
| Directed | Edges have arrows/direction | One-way streets; Twitter followers |
| Undirected | Edges are bidirectional | Two-way streets; Facebook friends |
| Weighted | Edges have numerical values | Distance in miles; Toll costs |
| Acyclic | No paths loop back to start | Prerequisites for a college major |
