ABSTRACT
A Ternary Search Tree is a hybrid data structure that combines the prefix-searching logic of a Multiway Trie with the space-efficient storage of a Binary Search Tree (BSTs). Each node stores a single character and has exactly three potential children: Left, Middle, and Right.
1. Structural Logic
In a TST, the relationship between a node and its children is determined by character comparisons and word progression:
- Left Child: Stores characters that are alphabetically smaller than the current node’s character.
- Right Child: Stores characters that are alphabetically larger than the current node’s character.
- Middle Child: Represents the next character in the current word string.
- Word Nodes: Nodes representing the end of a valid word are marked (e.g., colored blue).

2. Core Operations
Find
To search for a key, we compare the current character of the key with the current node’s label:
- If Key Char < Node Label: Move to the Left child.
- If Key Char > Node Label: Move to the Right child.
- If Key Char == Node Label: * If this is the last character of the key, check if the node is a word-node.
- Otherwise, move to the Middle child and move to the next character in the key.
find(key): // return True if key exists in this TST, otherwise return False
node = root node of the TST
letter = first letter of key
loop infinitely:
// left child
if letter < node.label:
if node has a left child:
node = node.leftChild
else:
return False // key cannot exist in this TST
// right child
else if letter > node.label:
if node has a right child:
node = node.rightChild
else:
return False // key cannot exist in this TST
// middle child
else:
if letter is the last letter of key and node is a word-node:
return True // we found key in this TST!
else:
if node has a middle child and letter is not the last letter of key:
node = node.middleChild
letter = next letter of key
else:
return False // key cannot exist in this TSTWalk Through Example (Success)
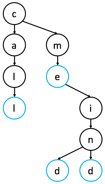
Below is the same example from before, and we will step through the process of finding the word mid:
- We start with node as the root node (‘c’) and letter as the first letter of mid (‘m’)
- letter (‘m’) is greater than the label of node (‘c’), so set node to the right child of node (‘m’)
- letter (‘m’) is equal to the label of node (‘m’), so set node to the middle child of node (‘e’) and set letter to the next letter of mid (‘i’)
- letter (‘i’) is greater than the label of node (‘e’), so set node to the right child of node (‘i’)
- letter (‘i’) is equal to the label of node (‘i’), so set node to the middle child of node (‘n’) and set letter to the next letter of mid (‘d’)
- letter (‘d’) is less than the label of node (‘n’), so set node to the left child of node (‘d’)
- letter (‘d’) is equal to the label of node (‘d’), letter is already on the last letter of mid (‘d’), and node is a “word node,” so success!
Walk Through Example (Fail)
Using the same example as before, let’s try finding the word cme, which might seem like it exists, but it actually doesn’t:
- We start with node as the root node (‘c’) and letter as the first letter of cme (‘c’)
- letter (‘c’) is equal to the label of node (‘c’), so set node to the middle child of node (‘a’) and set letter to the next letter of cme (‘m’)
- letter (‘m’) is greater than the label of node (‘a’), but node does not have a right child, so we failed
Insert
To insert a key, compare the current character with the node’s label:
- If Key Char < Node Label: Move to the Left child. If null, create a new Left child and build a Middle-child “spine” for the remaining characters.
- If Key Char > Node Label: Move to the Right child. If null, create a new Right child and build a Middle-child “spine” for the remaining characters.
- If Key Char == Node Label: If last character: Mark current node as a word-node.
- If not last character: Move to Middle child and next character. If Middle is null, build a “spine” of Middle children for the remaining characters.
insert(key): // insert key into this TST
node = root node of the TST
letter = first letter of key
loop infinitely:
// left child
if letter < node.label:
if node has a left child:
node = node.leftChild
else:
node.leftChild = new node labeled by letter
node = node.leftChild
iterate letter over the remaining letters of key:
node.middleChild = new node labeled by letter
node = node.middleChild
label node as a word-node
break
// right child
else if letter > node.label:
if node has a right child:
node = node.rightChild
else:
node.rightChild = new node labeled by letter
node = node.rightChild
iterate letter over the remaining letters of key:
node.middleChild = new node labeled by letter
node = node.middleChild
label node as a word-node
break
// middle child
else:
if letter is the last letter of key:
label node as a word-node
return true
else:
if node has a middle child:
node = node.middleChild
letter = next letter of key
else:
iterate letter over the remaining letters of key:
node.middleChild = new node labeled by letter
node = node.middleChild
label node as a word-node
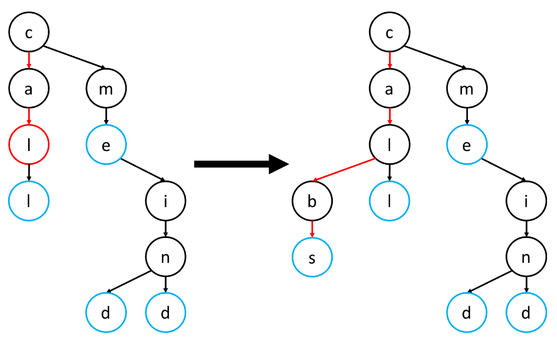
breakWalk Through Example
Below is the initial example of a Ternary Search Tree, and we will demonstrate the process of inserting the word cabs:
- We start with node as the root node (‘c’) and letter as the first letter of cabs (‘c’)
- letter (‘c’) is equal to the label of node (‘c’), so set node to the middle child of node (‘a’) and set letter to the next letter of cabs (‘a’)
- letter (‘a’) is equal to the label of node (‘a’), so set node to the middle child of node (‘l’) and set letter to the next letter of cabs (‘b’)
- letter (‘b’) is less than the label of node (‘l’), but node does not have a left child:
- Create a new node as the left child of node, and label the new node with letter (‘b’)
- Set node to the left child of node (‘b’) and set letter to the next letter of cabs (‘s’)
- Create a new node as the middle child of node (‘s’), and label the new node with letter (‘s’)
- Set node to the middle child of node (‘s’)
- letter is already on the last letter of cabs, so label node as a “word node” and we’re done!
Remove
To remove a key, use the search logic to locate the target node:
- If search fails: The key does not exist; no action is taken.
- If search succeeds:
- Navigate to the node representing the last character of the key.
- Action: Unmark the word-node status (e.g., change the color from blue to white).
Note
To optimize memory, you could recursively delete nodes that no longer lead to any word-nodes, though simply unmarking is the standard logical removal.
remove(key): // remove key if it exists in this TST
node = root node of the TST
letter = first letter of key
loop infinitely:
// left child
if letter < node.label:
if node has a left child:
node = node.leftChild
else:
return // key cannot exist in this TST
// right child
else if letter > node.label:
if node has a right child:
node = node.rightChild
else:
return // key cannot exist in this TST
// middle child
else:
if letter is the last letter of key and node is a word-node:
remove the word-node label from node // found key, so remove it from the TST
return
else:
if node has a middle child:
node = node.middleChild
letter = next letter of key
else:
return // key cannot exist in this TSTWalk Through Example
Below is the initial example of a Ternary Search Tree, and we will demonstrate the process of removing the word mid:
- We start with node as the root node (‘c’) and letter as the first letter of mid (‘m’)
- letter (‘m’) is greater than the label of node (‘c’), so set node to the right child of node (‘m’)
- letter (‘m’) is equal to the label of node (‘m’), so set node to the middle child of node (‘e’) and set letter to the next letter of mid (‘i’)
- letter (‘i’) is greater than the label of node (‘e’), so set node to the right child of node (‘i’)
- letter (‘i’) is equal to the label of node (‘i’), so set node to the middle child of node (‘n’) and set letter to the next letter of mid (‘d’)
- letter (‘d’) is less than the label of node (‘n’), so set node to the left child of node (‘d’)
- letter (‘d’) is equal to the label of node (‘d’), letter is already on the last letter of mid, and node is a “word node,” so mid exists in the tree
- Remove the “word node” label from node
3. Advanced Features
Like the Multiway Trie, the TST supports ordered operations and prefix-based utilities.
Alphabetical Iteration
Because TSTs maintain the BST property (Left < Node < Right), an In-Order Traversal can retrieve words in sorted order.
# Pseudocode for Ascending Order
ascendingInOrder(node):
ascendingInOrder(node.leftChild)
if node is a word-node:
output word
ascendingInOrder(node.middleChild)
ascendingInOrder(node.rightChild)Auto-complete
To find all words starting with a prefix:
- Traverse the TST to the node representing the end of the prefix.
- Perform an
ascendingInOrdertraversal on that node’s middle child subtree.
4. Evaluation for Lexicon ADT
The TST is often the preferred choice for implementing digital lexicons because it balances the trade-offs of other structures.
| Feature | BST (AVL) | Multiway Trie | Ternary Search Tree |
|---|---|---|---|
| Search (Avg) | |||
| Space Efficiency | High | Very Low | High |
| Alphabetical | Yes | Yes | Yes |
| Auto-complete | No | Yes | Yes |
Key Takeaways
- Space over Speed: TSTs avoid the “wasted pointer” problem of Multiway Tries because each node only has 3 pointers instead of (e.g., 26 or 256).
- Balance Matters: Like a BST, a TST can become “skewed” (unbalanced) if words are inserted in a poor order. Shuffling words before insertion is a common optimization.
- The “Middle Ground”: It provides the prefix-matching power of a Trie with the memory footprint of a Tree.


