Definition
A Heap is a specialized tree-based data structure that satisfies specific structural and ordering properties. It is the primary data structure used to implement the Priority Queue ADT.
1. Heap Constraints
A Binary Heap must satisfy three core properties:
- Binary Tree Property: Every node has at most 2 children ().
- Heap Property: For any two nodes and , if is the parent of , then has higher (or equal) priority than .
- Shape Property: The heap is a complete tree. All levels are fully filled except possibly the last level, which must be filled from left to right.
2. Min-Heaps vs. Max-Heaps
Priority is determined by the value of the elements. Because priority defines the relationship, duplicate values are allowed; ties are broken arbitrarily.
| Feature | Min-Heap | Max-Heap |
|---|---|---|
| Ordering | Parent Children | Parent Children |
| Root Node | Minimum value (Highest Priority) | Maximum value (Highest Priority) |
| Priority Logic | Smaller values have higher priority | Larger values have higher priority |
3. Core Operations
Peek —
Returns the highest-priority element. Due to the Heap Property, this is always the root.
Push (Insertion) —
To add an element while maintaining the Shape and Heap properties:
- Place the new element in the next open slot (maintaining the complete tree shape).
- Bubble Up: Compare the element with its parent. If it has higher priority, swap them. Repeat until the Heap Property is restored or the element becomes the root.

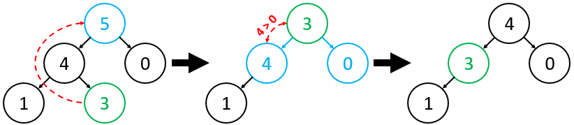
Pop (Removal) —
To remove the highest-priority element:
- Remove the root element.
- Replace the root with the last element (rightmost element of the bottom level).
- Trickle Down: Compare the new root with its children. Swap it with its highest-priority child. Repeat until the element is at a valid position or becomes a leaf.

NOTE
Why swap with the highest-priority child? > When trickling down, you must swap with the highest-priority child to ensure that the new parent of that subtree remains higher in priority than both of its resulting children.
4. Array Implementation
Because heaps are complete trees, they can be stored contiguously in an array without wasted space or the need for pointers.
For an element at index (using 0-based indexing):
- Parent:
- Left Child:
- Right Child:
- Next Open Slot: Index (where is the current number of elements).

5. Complexity Summary
| Operation | Time Complexity (Worst Case) |
|---|---|
| Peek | |
| Insert (Push) | |
| Remove (Pop) | |
| Space Complexity |