ABSTRACT
The Binomial Theorem provides a powerful algebraic method for expanding expressions of the form . In combinatorics, it serves as a fundamental identity that links algebra to counting, specifically through the use of Combinations (binomial coefficients).
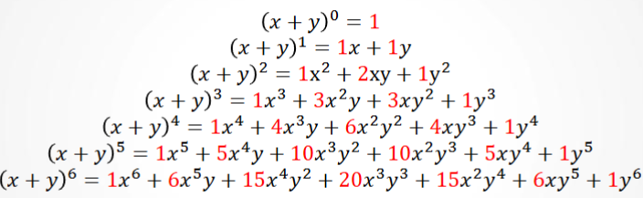
1. The Theorem
For any non-negative integer , the expansion of is given by:
Expanding this summation, we get:

2. Combinatorial Interpretation
The coefficient , often read as ” choose ,” represents the number of ways to choose items from a set of .
In the context of the expansion , to obtain the term , we must choose the variable from exactly of the available binomial factors. The remaining factors must contribute an .
- There are ways to make this selection.
- This is why binomial coefficients are also the entries in Pascal’s Triangle.
3. Useful Identities derived from the Theorem
By substituting specific values for and , we can derive several important counting identities:
The Sum of Coefficients
Let and :
- Counting Meaning: The total number of subsets of a set of size (the Power Set) is .
Alternating Sum
Let and :
- Counting Meaning: For any non-empty set, the number of subsets of even size is exactly equal to the number of subsets of odd size.
4. Connection to De Morgan’s Law and PIE
While the Binomial Theorem describes how to expand a union-like algebraic structure, it is often used to simplify the terms found in the Principle of Inclusion-Exclusion (PIE).
When applying PIE to properties where each intersection of properties has the same size (symmetry), the formula simplifies into a binomial expansion pattern:
This structure mirrors the alternating sum derived from the Binomial Theorem, often allowing complex counting problems to be reduced to a single compact expression.